반응형

이와 같은 보에서
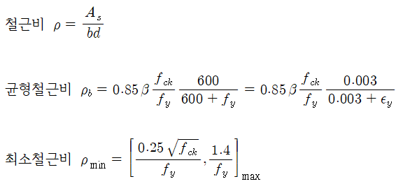
철근비, 균형철근비, 최소철근비를 구하는 식은 아래와 같다.

위와 같은 식으로 철근비, 균형철근비, 최소철근비를 구했다면
크기 비교를 통해 아래와 같은 보의 해석을 얻을 수 있다.

취성파괴가 발생할 경우
파괴에 대해 예측할 수 없기 때문에
설계를 함에 있어서 취성 파괴가 일어나지 않도록 해야한다.
반응형
'공시 공부 > 토목설계' 카테고리의 다른 글
| 1방향 슬래브와 보의 최소 두께 (0) | 2022.06.19 |
|---|---|
| 이형 철근의 기본정착길이 (+표준 갈고리) (0) | 2022.06.19 |
| 설계기준압축강도, 평균압축강도, 배합강도 (0) | 2022.06.05 |
| T형보의 유효폭 산정 (0) | 2022.05.15 |
| 단철근보, 복철근보, T형보의 휨강도와 블록깊이 (0) | 2022.05.15 |
댓글